400-998-5282
专注多肽 服务科研
编号:443002
CAS号:
三字母:H2N-Cys-Cys-Cys-Phe-Thr-OH
描 述:
编号:432537
三字母:H2N-Ala-Cys-Asp-Glu-Arg-OH
编号:493677
三字母:H2N-Lys-Gly-Cys-Ala-Asn-OH
编号:451956
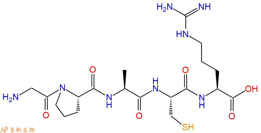
三字母:H2N-Gly-Pro-Ala-Cys-Arg-OH
编号:419170
三字母:H2N-Cys-Glu-Gly-Arg-Ser-OH
编号:508779
三字母:H2N-Cys-Ile-Phe-Ile-Tyr-OH
编号:437646
三字母:H2N-Phe-Phe-Lys-Tyr-Cys-OH
编号:447371
三字母:H2N-Cys-Phe-Val-His-Cys-OH
编号:421996
三字母:H2N-Asp-Val-Asp-Val-Cys-OH
编号:427961
三字母:H2N-Leu-Thr-Cys-Gly-Phe-OH
1号客服
2号客服
3号客服
4号客服
4009985282
17342063383
18715164942