编号:529244
CAS号:
三字母:H2N-Gly-Phe-Pro-Arg-Gly-Tyr-Cys-Cys-CONH2
描 述:
编号:566106
CAS号:
三字母:H2N-DCys-DGlu-DLeu-DGln-DPro-DGlu-DSer-OH
描 述:
编号:469362
CAS号:
三字母:H2N-Cys-Tyr-Ile-Asn-Cys-Gly-Leu-Gly-CONH2
描 述:
编号:513647
CAS号:
三字母:H2N-Cys-Tyr-Ile-Gln-Asn-Cys-Pro-Arg-CONH2
描 述:
编号:439182
CAS号:
三字母:H2N-Tyr-Phe-Ser-Asn-Cys-Hyp-Arg-Gly-CONH2
描 述:
编号:525949
CAS号:
三字母:H2N-Cys-Tyr-Ile-His-Cys-Gly-Leu-Gly-CONH2
描 述:
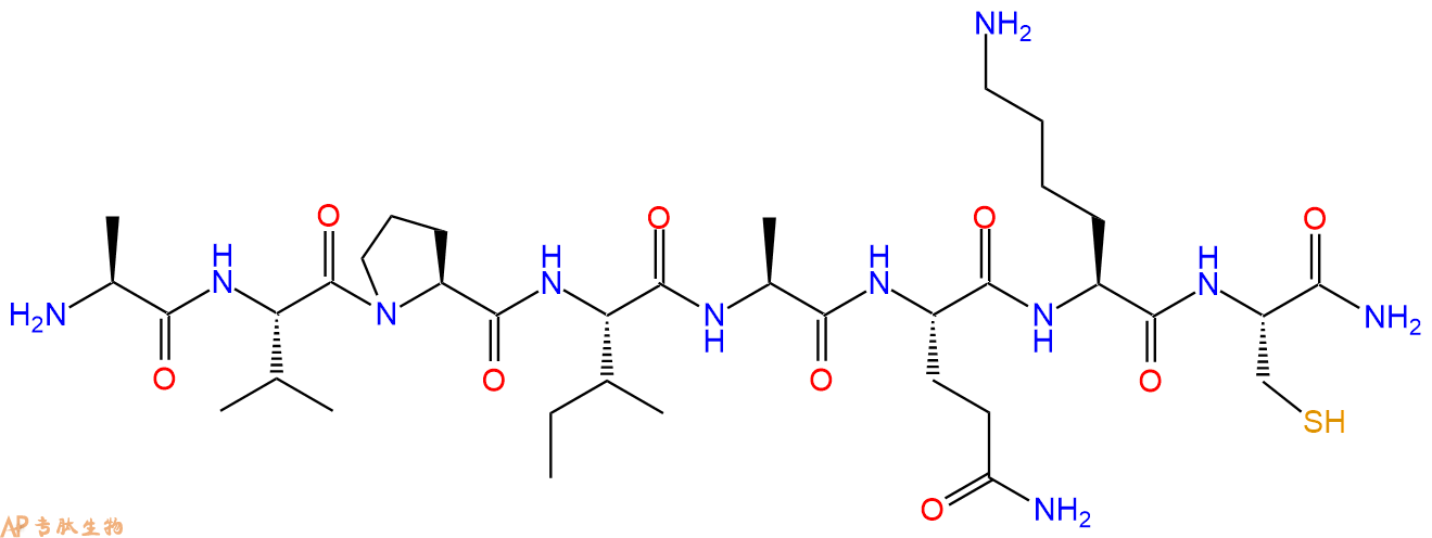
编号:583317
CAS号:
三字母:H2N-Ala-Val-Pro-Ile-Ala-Gln-Lys-Cys-CONH2
描 述:
编号:478135
CAS号:
三字母:Ac-Ile-Lys-Val-Ala-Val-Gly-Gly-Gly-Cys-OH
描 述:
编号:468923
CAS号:
三字母:H2N-Cys-Tyr-Ile-Thr-Asn-Cys-Gly-Gly-CONH2
描 述:
编号:433383
CAS号:
三字母:H2N-Phe-Ile-Thr-Asn-Cys-Pro-Arg-Val-CONH2
描 述:





