400-998-5282
专注多肽 服务科研
编号:430122
CAS号:17331-79-2
三字母:Cbz-Gly-Ala-CONH2
描 述:
编号:430131
CAS号:18323-56-3
三字母:Cbz-Ala-Leu-CONH2
编号:177605
CAS号:121185-77-1
三字母:H2N-Arg-Met-CONH2
编号:167029
CAS号:83871-06-1
三字母:Cbz-Phe-Pro-CONH2
编号:176661
CAS号:
三字母:H2N-His-His-CONH2
编号:128008
CAS号:71431-66-8
三字母:H2N-Ala-Gly-CONH2
编号:187727
CAS号:76399-73-0
三字母:H2N-Ala-Pro-CONH2
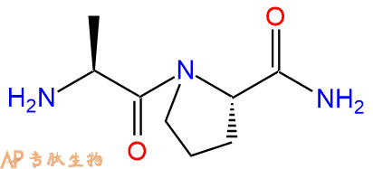
编号:181992
CAS号:130816-88-5
三字母:H2N-Ser-Phe-CONH2
编号:431230
CAS号: 876310-60-0
三字母:Ada-Arg-Phe-CONH2
编号:174636
CAS号:15855-91-1
三字母:H2N-Gly-Ala-CONH2
1号客服
2号客服
3号客服
4号客服
4009985282
17342063383
18715164942