400-998-5282
专注多肽 服务科研

编号:536777
CAS号:
三字母:5TAMRA-Gly-Arg-Lys-Lys-Arg-Arg-Gln-Arg-Arg-Arg-Pro-Pro-Gln-Gly-OH
描 述:
编号:471285
CAS号:
三字母:5TAMRA-Pro-Gln-Gln-Gly-Gly-His-Pro-Pro-Pro-Pro-Gln-Gly-Arg-Pro-Gln-OH
描 述:
编号:467266
CAS号:
三字母:5TAMRA-Lys-Tyr-Lys-Ile-Pro-Thr-Ser-Glu-Asn-Leu-Pro-Glu-Thr-Gly-Gly-OH
描 述:
编号:468130
CAS号:
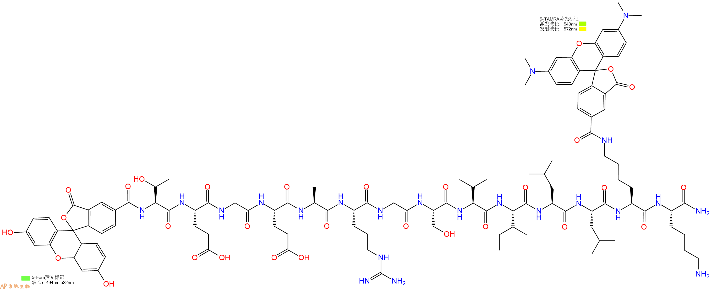
三字母:5FAM-Thr-Glu-Gly-Glu-Ala-Arg-Gly-Ser-Val-Ile-Leu-Leu-Lys(TAMRA)-Lys-CONH2
描 述:
编号:595656
CAS号:
三字母:5TAMRA-Ala-Ser-Gly-His-Gly-Gln-Gly-Leu-Leu-Asp-Ala-Leu-Asp-Leu-Lys-Ser-CONH2
描 述:
编号:594400
CAS号:
三字母:5TAMRA-Ala-Ser-Gly-His-Gly-Gln-Gly-Leu-Leu-Asp-Ala-Leu-Asp-Leu-Ala-Ser-CONH2
描 述:
编号:528069
CAS号:
三字母:5TAMRA-Gln-Ser-Gln-Gln-Thr-Phe-Cys-Asn-Leu-Trp-Arg-Leu-Leu-Cys-Gln-Asn-CONH2
描 述:
编号:539601
CAS号:
三字母:5TAMRA-His-His-His-His-His-His-His-His-His-His-His-His-His-His-His-His-CONH2
描 述:
编号:416167
CAS号:
三字母:H2N-Ser-Asn-Leu-Ser-Trp-Leu-Ser-Lys(TAMRA)-Leu-Asp-Val-Ser-Ala-Ala-Phe-Tyr-OH
描 述:
编号:531441
CAS号:
三字母:5TAMRA-Gln-Leu-Ala-Leu-Gln-Leu-Ala-Gln-Ala-Leu-Gln-Ala-Ala-Leu-Gln-Leu-Ala-Lys-OH
描 述:





