400-998-5282
专注多肽 服务科研
编号:169591
CAS号:98031-14-2
三字母:Cbz-Gly-Gly-βAla-Gly-OH
描 述:
编号:130405
CAS号:21612-07-7
三字母:Cbz-Ala-Ala-Cys(Bzl)-OBzl
编号:137899
CAS号:10145-61-6
三字母:Cbz-Ala-Ala-DAla-DAla-pNB
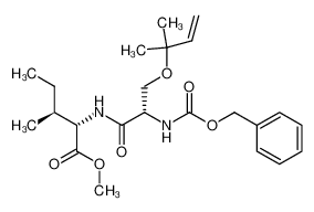
编号:122621
CAS号:267876-87-9
三字母:CBzl-Ser(rprenyl)-Ile-OMe
编号:177507
CAS号:10183-29-6
三字母:Cbz-DAla-DAla-Ala-Ala-pNB
编号:110389
CAS号:35766-45-1
三字母:Cbz-DAla-DAla-Ala-NHNHBoc
编号:192571
CAS号:27454-35-9
三字母:Cbz-DAla-DAla-DAla-NHNBoc
编号:132392
CAS号:77834-27-6
三字母:Cbz-Ile-Ile-Val-Ala-NHNH2
编号:178774
CAS号:10145-64-9
三字母:Cbz-DAla-Ala-Ala-DAla-pNB
编号:154464
CAS号:170589-67-0
三字母:Cbz-Leu-Leu-Phe(4NO2)-CHO
1号客服
2号客服
3号客服
4号客服
4009985282
17342063383
18715164942