400-998-5282
专注多肽 服务科研
编号:131509
CAS号:42417-80-1
三字母:Cbz-Ala-(NMe)Leu-OH
描 述:
编号:145884
CAS号:174191-69-6
三字母:Cbz-Leu(C=C)-Ala-OMe
编号:163674
CAS号:88621-76-5
三字母:Cbz-Cys(Acm)-Gly-OEt
编号:110317
CAS号:50466-60-9
三字母:Cbz-Lys(Boc)-Ala-OMe
编号:150226
CAS号:88744-51-8
三字母:Cbz-Gly-PAB-Ala-OTmb
编号:182138
CAS号:141665-76-1
三字母:Cbz-Pro-Dha-Ala-OBzl
编号:116695
CAS号:30225-19-5
三字母:Cbz-Gly-Phe-Phe-OtBu
编号:179637
CAS号:26108-12-3
三字母:Cbz-Gly-Phe-Phe-OP3P
编号:196572
CAS号:1427084-63-6
三字母:Cbz-Phe-Leu-Ala-OCam
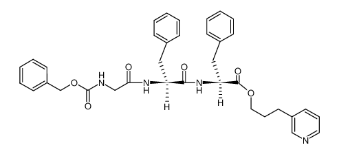
编号:115269
CAS号:33812-23-6
三字母:Cbz-Gly-Phe-Phe-OP4P
1号客服
2号客服
3号客服
4号客服
4009985282
17342063383
18715164942