
编号:520008
CAS号:
三字母:H2N-DTrp-DGlu-DIle-DLeu-DGlu-DArg-Cys-DAsp-DGlu-DSer-DIle-Gly-DAsn-Cys-DLeu-DAla-DHis-DAla-DSer-DLys-DAla-OH
描 述:
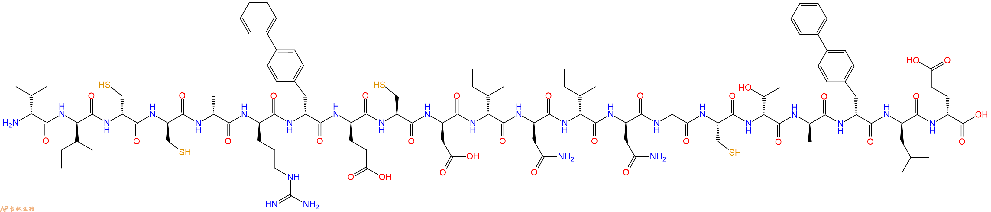
编号:519758
CAS号:
三字母:H2N-DVal-DIle-DCys-DCys-DAla-DArg-DBip-DGlu-Cys-DAsp-DIle-DAsn-DIle-DAsn-Gly-Cys-DThr-DAla-DBip-DLeu-DGlu-OH
描 述:
编号:504913
CAS号:
三字母:H2N-DAla-DPro-DArg-DIle-DLeu-Cys-DPro-DAla-DVal-DAla-DCys-DHis-Cys-DMet-DIle-DCys-DHis-DIle-Gly-DAla-DAsn-OH
描 述:
编号:520307
CAS号:
三字母:H2N-DAla-DCys-DGlu-Cys-DHis-DAla-DArg-DAsp-DTrp-DAla-DArg-DGlu-Cys-DPro-DAla-DLeu-DMet-Cys-DBip-DAla-DTyr-OH
描 述:
编号:516733
CAS号:
三字母:H2N-DCys-DArg-DGlu-DAla-DThr-DIle-DAsn-DGlu-Cys-DGlu-DPhe-DGlu-DLys-Cys-DSer-DAla-DMet-DPro-DIle-DAsn-Gly-OH
描 述:
编号:553083
CAS号:
三字母:H2N-DIle-DArg-DGlu-DLeu-DAla-DAsn-DAsp-Cys-DThr-DHis-DGlu-Cys-DPro-DIle-DGlu-Cys-DMet-DAla-DLys-DGlu-DArg-OH
描 述:
编号:559485
CAS号:
三字母:H2N-DAsn-DGlu-DTrp-Cys-DBip-DArg-DAla-DLys-DGlu-Cys-DPro-DAla-DAsp-DSer-Cys-DPhe-DIle-DThr-DThr-DGlu-DAsp-OH
描 述:
编号:502937
CAS号:
三字母:H2N-Val-DAla-DAsn-DAsp-DGlu-DArg-DBip-DIle-DLeu-DThr-Cys-Sec-DAsn-DIle-DVal-DGlu-DArg-DSer-DIle-DThr-DTyr-OH
描 述:
编号:511384
CAS号:
三字母:H2N-DGlu-DLeu-DGlu-DMet-DGlu-DAsn-DThr-Cys-DIle-DAsn-DAsp-DIle-DAla-Cys-DPro-DVal-DThr-Cys-DLeu-DThr-DAsp-OH
描 述:
编号:512922
CAS号:
三字母:H2N-DMet-DGlu-DLeu-DAla-DAsn-DIle-DGlu-Cys-DArg-DGlu-Gly-DAla-DAsn-Cys-DPro-DAla-DAsn-DCys-DAla-DArg-DGlu-OH
描 述:





