
编号:513518
CAS号:
三字母:H2N-DSer-DPro-DIle-DCys-DGlu-DSer-Cys-DBip-DLeu-DAla-DCys-DLys-Cys-DPro-DGlu-DPro-DPro-DGlu-DArg-OH
描 述:
编号:504307
CAS号:
三字母:H2N-DPro-DAla-DArg-DThr-DTyr-Cys-DCys-DIle-DThr-DTyr-Cys-DCys-DHis-DAla-DAsn-DAsp-DLeu-DGlu-DArg-OH
描 述:
编号:515570
CAS号:
三字母:H2N-DArg-DSer-Cys-DGlu-DLeu-DIle-DSer-DAla-DBip-DGlu-DThr-DHis-Cys-DBip-DGlu-DLys-DAla-DSer-DIle-OH
描 述:
编号:559092
CAS号:
三字母:H2N-DIle-DVal-DArg-DAla-Gly-DArg-DArg-DArg-Gly-Gly-DArg-DArg-Gly-Gly-DArg-DArg-Gly-Gly-DArg-DArg-OH
描 述:
编号:580586
CAS号:
三字母:H2N-DAla-DPro-DPro-DLeu-DIle-Cys-DBip-DGlu-DLeu-DAla-DIle-DArg-Cys-DAsp-DIle-DArg-DGlu-DCys-DThr-OH
描 述:
编号:562166
CAS号:
三字母:H2N-DCys-DHis-DIle-DAsn-DAla-Cys-DPro-DGlu-DPro-DThr-DIle-DAsp-DGlu-Cys-DSer-DGlu-DLeu-DLeu-DGlu-OH
描 述:
编号:431153
CAS号:
三字母:H2N-DLys-DGlu-DLeu-DAsp-DGlu-Gly-DLys-DGln-DThr-DAsp-DGln-DAsp-DArg-DTrp-DLys-Gly-DLeu-DAla-DTyr-OH
描 述:
编号:559625
CAS号:
三字母:H2N-DCys-DLeu-DGlu-DAla-DArg-Cys-DLeu-DAla-DLys-DGlu-Cys-DIle-DAsn-DPhe-DIle-DAsn-DIle-DThr-DIle-OH
描 述:
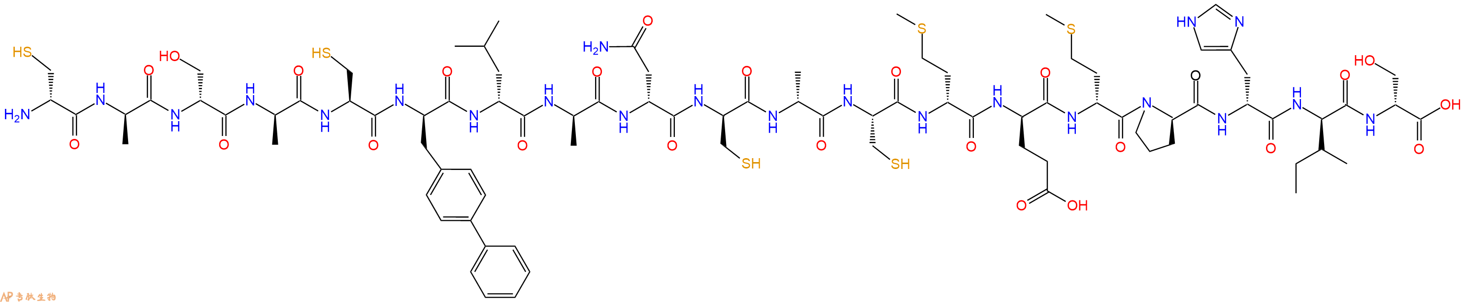
编号:505619
CAS号:
三字母:H2N-DCys-DAla-DSer-DAla-Cys-DBip-DLeu-DAla-DAsn-DCys-DAla-Cys-DMet-DGlu-DMet-DPro-DHis-DIle-DSer-OH
描 述:
编号:516114
CAS号:
三字母:H2N-DThr-DArg-DAla-DAsp-DGlu-Cys-DLeu-DIle-DCys-DGlu-DAsn-DCys-DGlu-Cys-DAla-DSer-DSer-DAla-DMet-OH
描 述:





