
编号:502986
CAS号:
三字母:H2N-DCys-DHis-DIle-DCys-DLys-DGlu-DAsn-Cys-DLys-DAsn-DIle-Gly-DHis-DThr-DAsp-DAla-DLeu-DGlu-OH
描 述:
编号:511435
CAS号:
三字母:H2N-DCys-DAla-DSer-DAla-Cys-DSer-DThr-DAla-DCys-DTyr-Cys-DVal-DAla-DArg-DGlu-DAsn-DAsn-DAla-OH
描 述:
编号:504526
CAS号:
三字母:H2N-DGlu-DLeu-DIle-DThr-DGlu-Cys-DBip-DAla-DThr-DHis-Cys-DLys-DIle-DThr-DCys-DHis-DGlu-DAsn-OH
描 述:
编号:504528
CAS号:
三字母:H2N-DPhe-DAla-DArg-DIle-DAsn-DAla-Cys-DLys-DAla-DAsn-DSer-DAla-DSer-Cys-DCys-DIle-DThr-DTyr-OH
描 述:
编号:508378
CAS号:
三字母:H2N-DAla-DLeu-DAsp-DGlu-DBip-DAla-DArg-DAla-DAsn-Cys-DPro-DLeu-DGlu-DIle-DAla-DAsp-DGlu-DSer-OH
描 述:
编号:507623
CAS号:
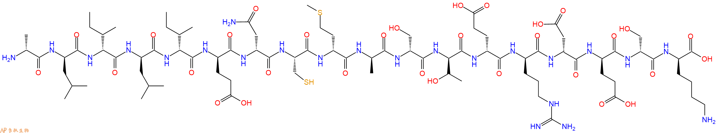
三字母:H2N-DAla-DLeu-DIle-DLeu-DIle-DGlu-DAsn-Cys-DMet-DAla-DSer-DThr-DGlu-DArg-DAsp-DGlu-DSer-DLys-OH
描 述:
编号:514028
CAS号:
三字母:H2N-DLeu-DAla-DPro-DLeu-DAla-DAsn-DThr-DGlu-Cys-DCys-DAla-DSer-DSer-DGlu-DLeu-DMet-DAla-DAsn-OH
描 述:
编号:508654
CAS号:
三字母:H2N-DPhe-DGlu-DAsn-DIle-DSer-DThr-DIle-DLeu-Cys-DThr-DAla-DBip-DLeu-DGlu-DThr-DThr-DGlu-DAsn-OH
描 述:
编号:577511
CAS号:
三字母:H2N-DThr-DGlu-DAsn-DAsn-DIle-DSer-Cys-DTrp-DGlu-DAla-DThr-DHis-DGlu-DArg-DVal-DAla-DAsn-DGlu-OH
描 述:
编号:503036
CAS号:
三字母:H2N-DBip-DAla-DSer-DLys-DGlu-DThr-DBip-DAla-DLeu-DLeu-Cys-DCys-DLeu-DIle-DAsn-DIle-DCys-DSer-OH
描 述:





