
编号:520720
CAS号:
三字母:H2N-DPhe-DGlu-DAsn-DThr-DAla-DAsn-DTyr-DLeu-Cys-DAsn-DAla-DMet-DAla-Cys-DLeu-DAla-DIle-DAsn-OH
描 述:
编号:550421
CAS号:
三字母:H2N-DCys-Cys-Arg-Trp-Glu-Ala-Val-Arg-Thr-Glu-Gly-Asp-Arg-Thr-Phe-Tyr-Arg-Leu-Leu-Pro-Cys-CONH2
描 述:
编号:568596
CAS号:
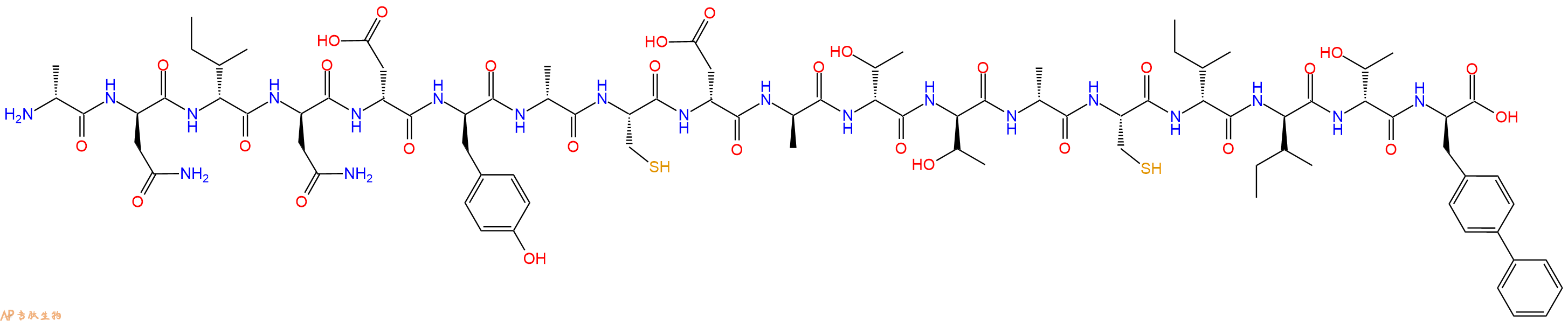
三字母:H2N-DAla-DAsn-DIle-DAsn-DAsp-DTyr-DAla-Cys-DAsp-DAla-DThr-DThr-DAla-Cys-DIle-DIle-DThr-DBip-OH
描 述:
编号:505626
CAS号:
三字母:H2N-DAla-DCys-DGlu-Cys-DHis-DAla-DArg-DAsp-DTrp-DAla-DArg-DGlu-Cys-DThr-DAla-DMet-DPro-DAla-OH
描 述:
编号:433232
CAS号:
三字母:H2N-Ser-DArg-DArg-DHis-DPhe-DTrp-DTrp-DVal-DThr-DLys-DTyr-DThr-DLys-DHis-Gly-DCys-DArg-DArg-OH
描 述:
编号:519196
CAS号:
三字母:H2N-DAsp-DAla-DAsn-DAsn-DTyr-Cys-DArg-DTyr-DAla-DAsn-Cys-DPro-DPhe-DIle-DGlu-DPhe-DGlu-DArg-OH
描 述:
编号:503840
CAS号:
三字母:H2N-DGlu-DAsn-DThr-DGlu-DArg-DPro-DArg-DIle-DSer-DGlu-Cys-DAsn-DGlu-DAla-DArg-Cys-DMet-DGlu-OH
描 述:
编号:580628
CAS号:
三字母:H2N-DThr-DHis-DGlu-Cys-DLeu-DIle-DThr-DThr-DLeu-DGlu-Cys-DVal-DAla-DMet-DPro-DIle-DArg-DGlu-OH
描 述:
编号:502820
CAS号:
三字母:H2N-DPro-DMet-Cys-DSer-DVal-DAla-DAsn-DIle-DAsp-DHis-DIle-Cys-DSer-DCys-DHis-DGlu-DMet-DGlu-OH
描 述:
编号:505636
CAS号:
三字母:H2N-DIle-DAsn-DAsn-DGlu-DArg-Cys-DSer-DPro-DAla-DCys-DGlu-Cys-DCys-DAla-DVal-DGlu-DArg-DAsn-OH
描 述:





