
编号:513714
CAS号:
三字母:H2N-DThr-DHis-DTyr-DMet-DIle-DAsn-DGlu-Cys-DBip-DAla-DSer-DGlu-DAsp-Cys-Gly-DGlu-DLeu-DSer-OH
描 述:
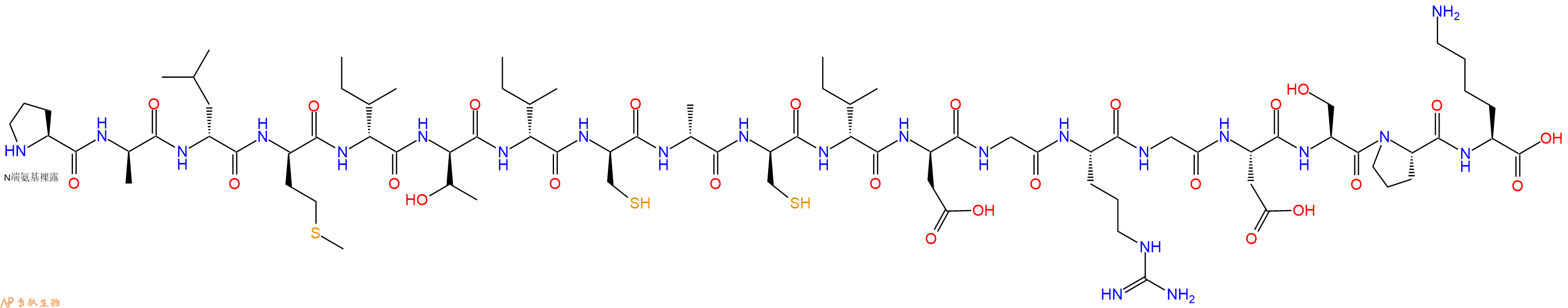
编号:567731
CAS号:
三字母:H2N-Pro-DAla-DLeu-DMet-DIle-DThr-DIle-DCys-DAla-DCys-DIle-DAsp-Gly-Arg-Gly-Asp-Ser-Pro-Lys-OH
描 述:
编号:442586
CAS号:
三字母:H2N-DCys-Gly-Gly-Gly-DLys-DLeu-DAla-DLys-DLeu-DAla-DLys-DLys-DLeu-DAla-DLys-DLeu-DAla-DLys-OH
描 述:
编号:511426
CAS号:
三字母:H2N-DGlu-DIle-Gly-DHis-DThr-DTyr-Cys-DPhe-DIle-DVal-DGlu-Cys-DArg-DIle-DAsp-DAsp-DIle-DMet-OH
描 述:
编号:514759
CAS号:
三字母:H2N-DTrp-DHis-DAla-DThr-Cys-DIle-DSer-Cys-DThr-DAla-DVal-DGlu-DArg-DAsn-Cys-DHis-DAla-DMet-OH
描 述:
编号:505545
CAS号:
三字母:H2N-DPro-DIle-DAsn-DGlu-Cys-DSer-DThr-DArg-DAla-DTrp-Cys-DAsn-DGlu-DAla-DArg-Cys-DMet-DGlu-OH
描 述:
编号:577476
CAS号:
三字母:H2N-DAla-DMet-DIle-Gly-DAla-Cys-DArg-DGlu-DGlu-DLeu-DSer-Cys-DLeu-DAla-DThr-DGlu-DSer-DThr-OH
描 述:
编号:505809
CAS号:
三字母:H2N-DPro-DGlu-DThr-DSer-DMet-DAla-DArg-DThr-Cys-DLeu-DAla-DSer-Cys-DVal-DGlu-Gly-DAla-DSer-OH
描 述:
编号:518353
CAS号:
三字母:H2N-DLeu-DAsp-DHis-Cys-DSer-DIle-DAsn-Gly-DLys-DAla-DThr-DAla-DAsn-Cys-DAsp-DAla-DArg-DIle-OH
描 述:
编号:558800
CAS号:
三字母:H2N-DArg-DAla-DCys-Cys-DBip-DAla-DThr-DThr-DGlu-DArg-DTyr-Cys-DCys-DHis-DAla-DAsn-Gly-DGlu-OH
描 述:





