
编号:508513
CAS号:
三字母:H2N-DMet-DAla-Gly-DAsn-DIle-DPhe-DIle-DCys-Cys-DArg-DGlu-DBip-DGlu-DLeu-Cys-DPhe-DAla-DAsn-OH
描 述:
编号:504939
CAS号:
三字母:H2N-DThr-DHis-DGlu-Cys-DBip-DIle-DThr-DThr-DGlu-DArg-Cys-DGlu-DAsn-DAsp-Cys-DAsn-DTyr-DCys-OH
描 述:
编号:504685
CAS号:
三字母:H2N-DHis-DAla-DArg-DAsp-Cys-DCys-DIle-DAsp-DGlu-DArg-Cys-DAsn-DGlu-DAla-DArg-Cys-DMet-DGlu-OH
描 述:
编号:519788
CAS号:
三字母:H2N-DPro-DGlu-DAla-DLys-Cys-DIle-DAsn-DThr-DGlu-DLeu-DLeu-DGlu-DCys-DThr-Cys-DAla-Gly-DGlu-OH
描 述:
编号:505712
CAS号:
三字母:H2N-DAla-DAsp-DAla-DAsn-DAla-Cys-DAsn-DAla-DArg-Gly-DIle-DLeu-DGlu-Cys-DLys-DAla-DPhe-DGlu-OH
描 述:
编号:506225
CAS号:
三字母:H2N-DCys-DHis-DGlu-DArg-DArg-DTyr-Cys-DThr-DArg-DGlu-DGlu-Cys-Gly-DAla-DArg-DAsp-DGlu-DAsn-OH
描 述:
编号:516721
CAS号:
三字母:H2N-DAla-DLys-DAla-DAsp-DGlu-DMet-DIle-DAla-Cys-DAla-DThr-DHis-DGlu-DAsn-DSer-Cys-Gly-DAla-OH
描 述:
编号:562803
CAS号:
三字母:H2N-DCys-DHis-DGlu-DAla-DPro-Cys-Gly-DLeu-DPro-Cys-DPro-DGlu-DPro-DThr-DIle-DAsp-DGlu-DSer-OH
描 述:
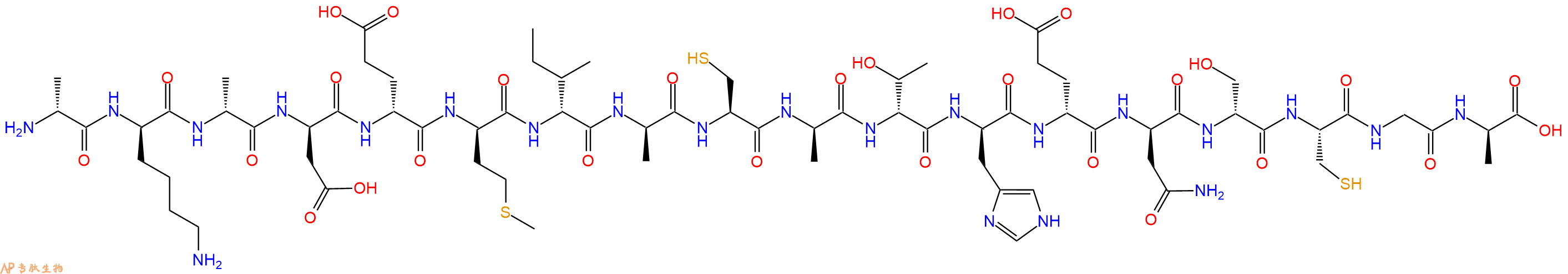
编号:521335
CAS号:
三字母:H2N-Ala-Phe-Leu-Cys-Thr-DAla-DLeu-DLeu-DTyr-Cys-Ser-DHis-DGlu-DGlu-DThr-Cys-DPro-DAsp-DPhe-OH
描 述:
编号:595829
CAS号:
三字母:H2N-DPhe-DTyr-DArg-Gly-DAsp-DSer-Gly-DGlu-DGln-DVal-Gly-DGln-DVal-DAla-DTrp-DAla-DArg-DVal-OH
描 述:





