
编号:505596
CAS号:
三字母:H2N-DThr-DAla-DArg-Gly-DGlu-DThr-Cys-DPhe-DGlu-DAsp-DGlu-DArg-DAla-DLeu-Cys-DTrp-DAla-DTyr-OH
描 述:
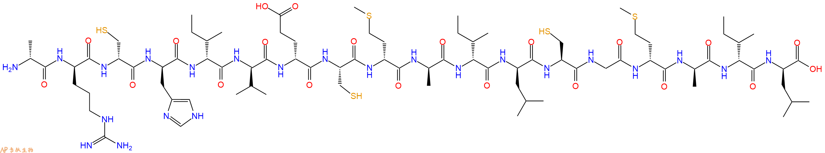
编号:519163
CAS号:
三字母:H2N-DAla-DArg-DCys-DHis-DIle-DVal-DGlu-Cys-DMet-DAla-DIle-DLeu-Cys-Gly-DMet-DAla-DIle-DLeu-OH
描 述:
编号:552702
CAS号:
三字母:H2N-DCys-DGlu-DAsp-DAla-DArg-Cys-DArg-DIle-DAsp-Gly-DGlu-Cys-DCys-DArg-DAla-DPhe-DThr-DSer-OH
描 述:
编号:503043
CAS号:
三字母:H2N-DBip-DAla-DIle-DAsn-DBip-DArg-DIle-DAsp-Gly-DGlu-Cys-Gly-DAla-DArg-DAsp-DGlu-DAsn-DSer-OH
描 述:
编号:566018
CAS号:
三字母:H2N-DAsp-DAla-DCys-DHis-DGlu-DAsn-Gly-Cys-DTrp-DGlu-DIle-Cys-DCys-DArg-DIle-DSer-DPro-DArg-OH
描 述:
编号:514311
CAS号:
三字母:H2N-DTrp-DGlu-Cys-DAla-DArg-DGlu-Cys-DThr-DHis-DGlu-Cys-DMet-DIle-DLeu-DLeu-DGlu-DArg-DSer-OH
描 述:
编号:514570
CAS号:
三字母:H2N-DArg-DGlu-Gly-DAla-DLeu-Cys-DCys-DIle-DAsn-DGlu-DMet-DAla-DSer-Cys-DBip-DArg-DGlu-DAla-OH
描 述:
编号:515345
CAS号:
三字母:H2N-DCys-DAla-DLeu-DMet-DGlu-DThr-Cys-DGlu-DAsn-Gly-DIle-DAsn-DGlu-DGlu-DArg-DIle-DAsn-Gly-OH
描 述:
编号:552467
CAS号:
三字母:H2N-Ala-DMet-DTyr-DAsp-DAla-Cys-DCys-DAla-DArg-DThr-DIle-DLeu-DAla-Gly-DIle-DAsn-DGlu-DAla-OH
描 述:
编号:475682
CAS号:
三字母:H2N-DArg-DArg-DVal-DLeu-DVal-DLeu-DLeu-Val-Ser-Leu-Gly-Val-Ala-Ile-His-Cys-Cys-Arg-Arg-Arg-OH
描 述:





