
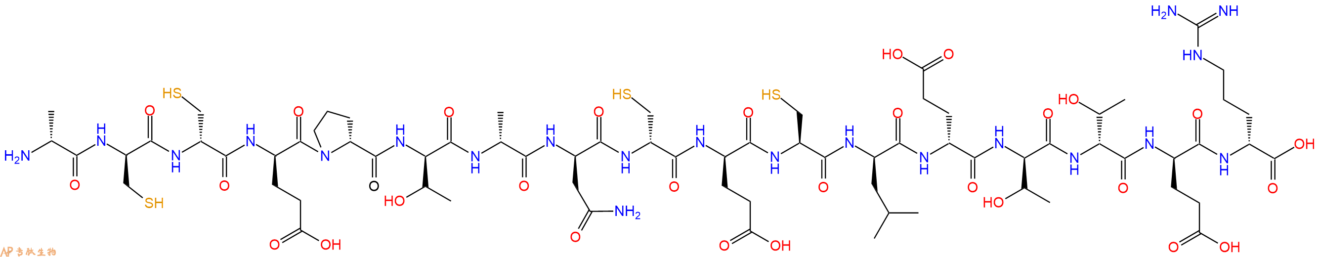
编号:568626
CAS号:
三字母:H2N-DThr-DIle-DArg-DAla-DIle-Cys-DAsn-DPhe-DArg-DAla-DPro-DAla-DThr-DGlu-DLeu-DAla-DArg-OH
描 述:
编号:580908
CAS号:
三字母:H2N-DSer-DAla-DIle-DAsn-DThr-DHis-DIle-DAla-Cys-DAsp-DIle-DSer-DThr-DArg-DIle-DCys-DThr-OH
描 述:
编号:508730
CAS号:
三字母:H2N-DAla-DCys-DCys-DGlu-DPro-DThr-DAla-DAsn-DCys-DGlu-Cys-DLeu-DGlu-DThr-DThr-DGlu-DArg-OH
描 述:
编号:505668
CAS号:
三字母:H2N-DAla-DSer-DPro-DHis-DAla-DLeu-DThr-Cys-DMet-DAla-DThr-DGlu-DArg-DIle-DAla-DLeu-DSer-OH
描 述:
编号:508487
CAS号:
三字母:H2N-DAsp-DGlu-DPhe-DIle-DAsn-DIle-DArg-Cys-DGlu-DVal-DIle-DAsp-DGlu-DAsn-DCys-DIle-DAla-OH
描 述:
编号:575553
CAS号:
三字母:H2N-DVal-DIle-DSer-DTrp-DAla-DAsn-DAla-DThr-DHis-Cys-DThr-DHis-DGlu-DAla-DThr-DArg-DGlu-OH
描 述:
编号:520268
CAS号:
三字母:H2N-DBip-DArg-DAla-DLys-DGlu-Cys-DArg-DGlu-DPro-DLeu-DAla-DCys-DGlu-DMet-DGlu-DAsn-DThr-OH
描 述:
编号:560972
CAS号:
三字母:H2N-DGlu-DThr-DHis-DGlu-DArg-DAsn-DGlu-DThr-Cys-DPhe-DAla-DArg-DIle-DAsn-DThr-DGlu-DArg-OH
描 述:
编号:502352
CAS号:
三字母:H2N-DTyr-DAla-DArg-DAla-DArg-DLeu-DAla-DArg-Cys-DPhe-DAla-DTyr-DAsp-DAla-DLeu-DAla-DArg-OH
描 述:
编号:502613
CAS号:
三字母:H2N-DPro-DAla-DArg-DIle-DVal-DAla-DHis-DAla-DAsn-Cys-DCys-DHis-DAla-DLeu-DLeu-DAla-DAsn-OH
描 述:





