
编号:576716
CAS号:
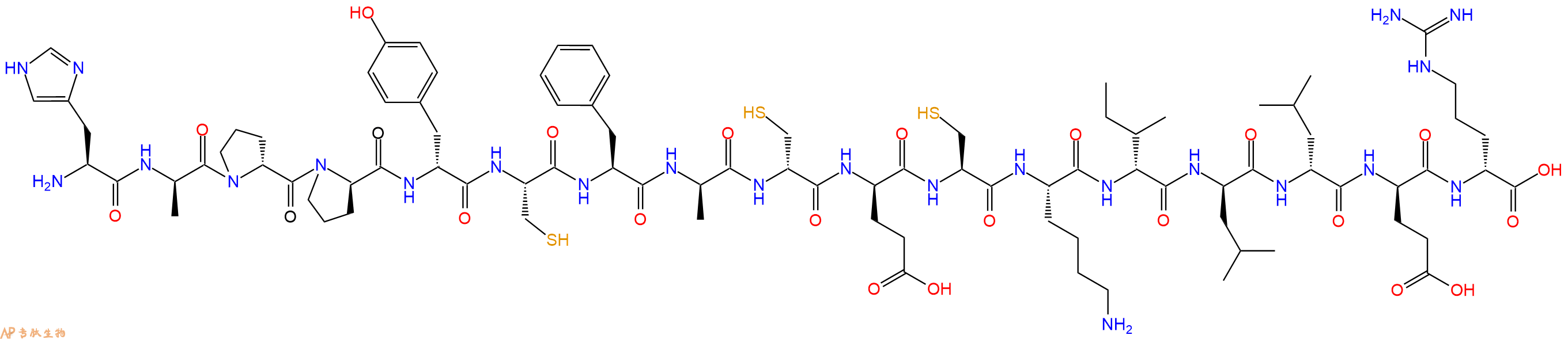
三字母:H2N-Asn-DAla-DLys-DGlu-DAsp-Cys-Leu-DAla-DAsp-DTyr-Cys-Leu-DIle-DLeu-DIle-DGlu-DSer-OH
描 述:
编号:509917
CAS号:
三字母:H2N-His-DAla-DPro-DPro-DTyr-Cys-Phe-DAla-DCys-DGlu-Cys-Lys-DIle-DLeu-DLeu-DGlu-DArg-OH
描 述:
编号:560094
CAS号:
三字母:H2N-DArg-DAla-DAsp-DAla-DArg-DMet-DAsp-DMet-DArg-DMet-DAsp-DAla-DArg-DAla-DAsp-DAla-OH
描 述:
编号:560095
CAS号:
三字母:H2N-DArg-DAla-DAsp-DAla-DArg-DMet-DAsp-DMet-DArg-DMet-DAsp-DMet-DArg-DAla-DAsp-DAla-OH
描 述:
编号:567262
CAS号:
三字母:H2N-DLeu-DArg-DLeu-DLys-DArg-DTrp-DIle-DArg-DLeu-DLys-DIle-DTrp-DArg-DIle-DTyr-DTrp-OH
描 述:
编号:516842
CAS号:
三字母:H2N-Arg-DAla-DThr-DHis-DIle-Cys-Glu-DAsn-Gly-DIle-DAsn-DGlu-DGlu-DArg-DIle-DAsn-Gly-OH
描 述:
编号:520685
CAS号:
三字母:H2N-Arg-DGlu-DAsn-DAla-DThr-DGlu-Cys-His-DGlu-DIle-DAsn-DGlu-Cys-His-DAla-DMet-DMet-OH
描 述:
编号:425195
CAS号:
三字母:H2N-Thr-DHis-DArg-Gly-Leu-Tyr-Cys-Ala-DLeu-DAla-Cys-Pro-DHis-DGlu-Cys-Met-DGlu-DThr-OH
描 述:
编号:577798
CAS号:
三字母:H2N-Ile-Cys-His-Cys-DPhe-DIle-DLeu-DGlu-Cys-DThr-DArg-DAla-DAsn-DSer-DPhe-DGlu-DArg-OH
描 述:
编号:452898
CAS号:
三字母:H2N-Gly-Asp-Glu-Asp-Gly-Gly-Ile-Phe-Glu-Lys-Phe-Gly-Lys-Gly-Gly-DThr-DTyr-DPro-DArg-OH
描 述:





