
编号:518123
CAS号:
三字母:H2N-DBip-DArg-DIle-DLeu-DLeu-DAla-DArg-DGlu-Cys-DSer-DCys-DIle-DGlu-DAsn-DCys-DGlu-OH
描 述:
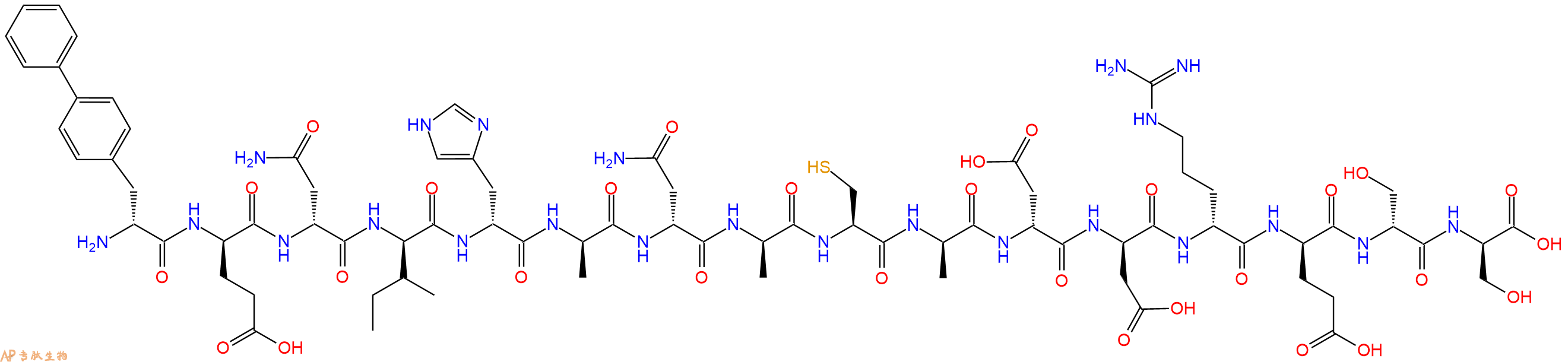
编号:504560
CAS号:
三字母:H2N-DBip-DGlu-DAsn-DIle-DHis-DAla-DAsn-DAla-Cys-DAla-DAsp-DAsp-DArg-DGlu-DSer-DSer-OH
描 述:
编号:569068
CAS号:
三字母:H2N-DCys-DAla-DPro-DIle-DLeu-DLeu-DAla-DArg-DTyr-Cys-DAsp-DGlu-DVal-DIle-DCys-DGlu-OH
描 述:
编号:516600
CAS号:
三字母:H2N-DAsp-DGlu-DBip-DIle-DAla-DAsn-Cys-DSer-DTyr-DSer-DThr-DGlu-DMet-DCys-DThr-DLeu-OH
描 述:
编号:569077
CAS号:
三字母:H2N-DAla-DAsp-DAsp-DIle-DThr-DIle-DVal-DGlu-Cys-DBip-DAla-DThr-DThr-DGlu-DArg-DTyr-OH
描 述:
编号:511488
CAS号:
三字母:H2N-DAsp-DGlu-DMet-DGlu-DAsn-DThr-DIle-DAla-Cys-DAsp-DAla-DThr-DAla-DSer-DGlu-DThr-OH
描 述:
编号:580603
CAS号:
三字母:H2N-DAla-DAsp-DAla-DPro-DThr-DIle-DPhe-Cys-DCys-DGlu-DMet-DGlu-DLys-DIle-DAla-DAsn-OH
描 述:
编号:505611
CAS号:
三字母:H2N-DAla-DLeu-DLeu-DSer-DThr-DAla-DThr-DGlu-Cys-DLys-DIle-DLeu-DLeu-DGlu-DGlu-DAsn-OH
描 述:
编号:559889
CAS号:
三字母:H2N-DMet-DAla-DThr-DHis-DIle-DSer-Cys-DCys-DHis-DGlu-DVal-DAla-DLeu-DIle-DGlu-DArg-OH
描 述:
编号:502553
CAS号:
三字母:H2N-DAla-DAsn-DThr-DGlu-DCys-DGlu-DAsp-DGlu-DAsn-DThr-DGlu-DSer-Cys-DAsp-DPro-DPhe-OH
描 述:





