400-998-5282
专注多肽 服务科研
编号:206325
CAS号:
三字母:H2N-DPro-DLeu-DSer-DLeu-OH
描 述:
编号:409081
三字母:H2N-DLys-DAla-DAsp-DLys-OH
编号:409593
三字母:H2N-DAsp-DAla-DSer-DVal-OH
编号:410105
三字母:H2N-DThr-DMet-DSer-DAla-OH
编号:409339
三字母:H2N-DGlu-DMet-DLys-DThr-OH
编号:409340
三字母:H2N-DThr-DCys-DArg-DGlu-OH
编号:409851
三字母:H2N-DPhe-DLys-DAsp-DPro-OH
编号:408060
三字母:H2N-DArg-DArg-DArg-DArg-OH
编号:410621
三字母:H2N-DTyr-DArg-DAla-DLys-OH
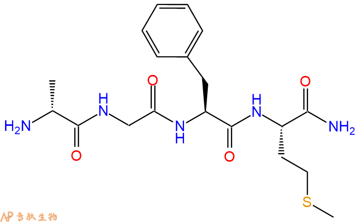
编号:122640
CAS号:100929-65-5
三字母:H2N-DAla-Gly-Phe-Met-CONH2
1号客服
2号客服
3号客服
4号客服
4009985282
17342063383
18715164942