400-998-5282
专注多肽 服务科研
编号:220844
CAS号:
三字母:H2N-DMet-DGlu-DSer-DThr-OH
描 述:
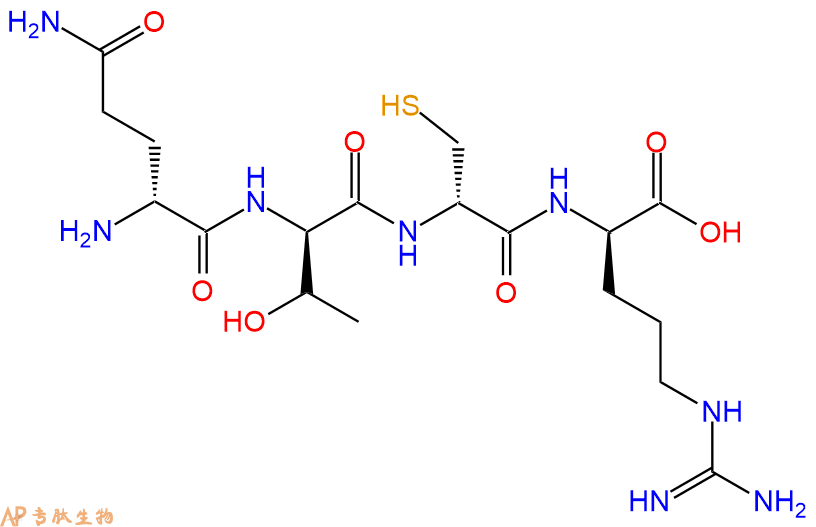
编号:409308
三字母:H2N-DGln-DThr-DCys-DArg-OH
编号:409820
三字母:H2N-DPhe-DSer-DLys-DLys-OH
编号:410588
三字母:H2N-DAla-DTyr-DArg-DAla-OH
编号:410335
三字母:H2N-DPhe-DCys-DSer-DGlu-OH
编号:410336
三字母:H2N-DLys-DGlu-DLys-DTyr-OH
编号:411106
三字母:H2N-DGlu-DGlu-DGlu-DAsp-OH
编号:409571
三字母:H2N-DPro-DAsp-DAla-DSer-OH
编号:409828
三字母:H2N-DAsn-DThr-DAla-DAla-OH
编号:409319
三字母:H2N-DArg-DGlu-DMet-DLys-OH
1号客服
2号客服
3号客服
4号客服
4009985282
17342063383
18715164942