400-998-5282
专注多肽 服务科研
编号:421446
CAS号:
三字母:H2N-DLys-DLeu-DLeu-DLeu-DPhe-OH
描 述:
编号:559693
三字母:H2N-His-Ala-Val-Asp-Ile-DLys-OH
编号:135106
CAS号:374116-54-8
三字母:Boc-Pro-DAla-Tyr(Bzl)-DAla-OBzl
编号:506959
三字母:H2N-DAla-DCys-DAsp-DGlu-DPhe-OH
编号:481369
三字母:H2N-DGlu-DLeu-DGlu-DMet-DLys-OH
编号:569930
三字母:H2N-DAla-DBip-DGlu-DThr-DAla-OH
编号:533840
三字母:H2N-DTrp-DLeu-DLys-DAsn-DGln-OH
编号:561232
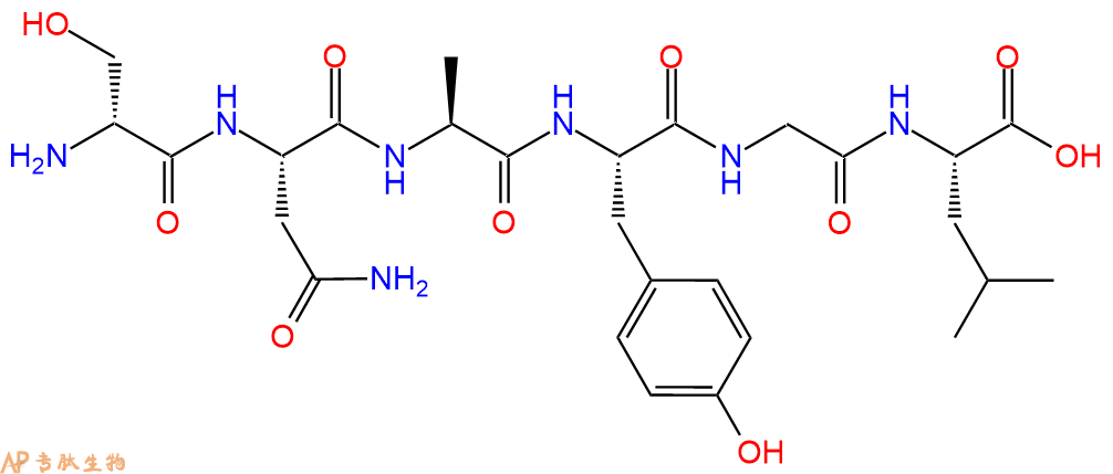
三字母:H2N-DSer-Asn-Ala-Tyr-Gly-Leu-OH
编号:533842
三字母:H2N-DGln-DAsn-DLys-DLeu-DTrp-OH
编号:436344
三字母:H2N-Arg-Arg-Gly-Ser-Ser-DVal-OH
1号客服
2号客服
3号客服
4号客服
4009985282
17342063383
18715164942