400-998-5282
专注多肽 服务科研
编号:559633
CAS号:
三字母:H2N-DGlu-DGln-DIle-DLeu-DGlu-OH
描 述:
编号:516371
三字母:H2N-DCys-DAla-DIle-DAsp-DAla-OH
编号:558098
三字母:H2N-Phe-DLys-Leu-Leu-Lys-Leu-OH
编号:594692
三字母:H2N-Pro-DLeu-Ser-Lys-Ile-Ser-OH
编号:594694
三字母:H2N-Pro-DLeu-Ser-His-Ile-Ser-OH
编号:594696
三字母:H2N-Pro-DLeu-Ser-Leu-Lys-Ser-OH
编号:485409
三字母:H2N-DLeu-DLeu-DAla-DMet-DAla-OH
编号:587532
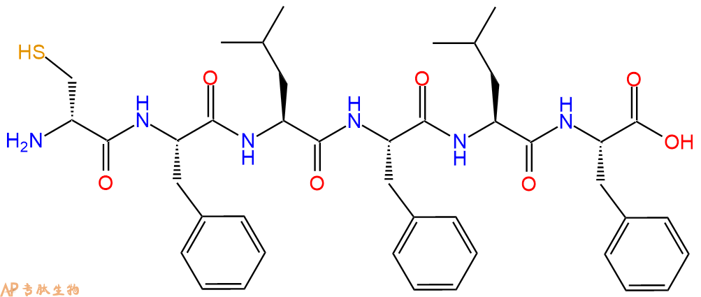
三字母:H2N-DCys-Phe-Leu-Phe-Leu-Phe-OH
编号:594699
三字母:H2N-Pro-DLeu-Ser-Leu-His-Ser-OH
编号:578834
三字母:H2N-DTyr-DThr-DThr-DArg-DLys-OH
1号客服
2号客服
3号客服
4号客服
4009985282
17342063383
18715164942