400-998-5282
专注多肽 服务科研
编号:451166
CAS号:
三字母:H2N-Ser-DTyr-DAsn-Bip-OH
描 述:
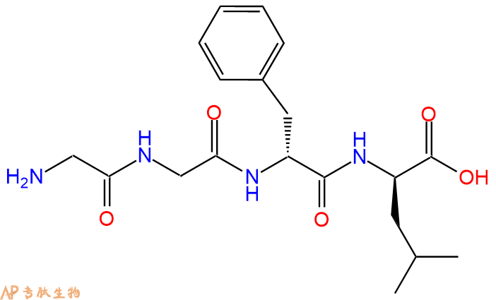
编号:584274
三字母:H2N-Gly-Gly-DPhe-DLeu-OH
编号:531559
三字母:H2N-Leu-Pro-DHis-DGlu-OH
编号:114527
CAS号:88463-17-6
三字母:Boc-Gly-Gly-Dha-Gly-OtBu
编号:432803
三字母:H2N-Gly-DLeu-DPhe-Gly-OH
编号:451469
三字母:H2N-Ser-DGlu-DArg-Pro-OH
编号:427708
三字母:H2N-Met-DGlu-DThr-Orn-OH
编号:461210
三字母:H2N-Gly-His-DTyr-DPro-OH
编号:425099
三字母:H2N-Tyr-Leu-DCys-DLys-OH
编号:462757
三字母:H2N-Gly-DPhe-DLeu-Gly-OH
1号客服
2号客服
3号客服
4号客服
4009985282
17342063383
18715164942