
编号:409932
CAS号:
三字母:H2N-DAla-DAla-DAsp-DAsp-DLys-DGln-DPro-DTyr-OH
描 述:
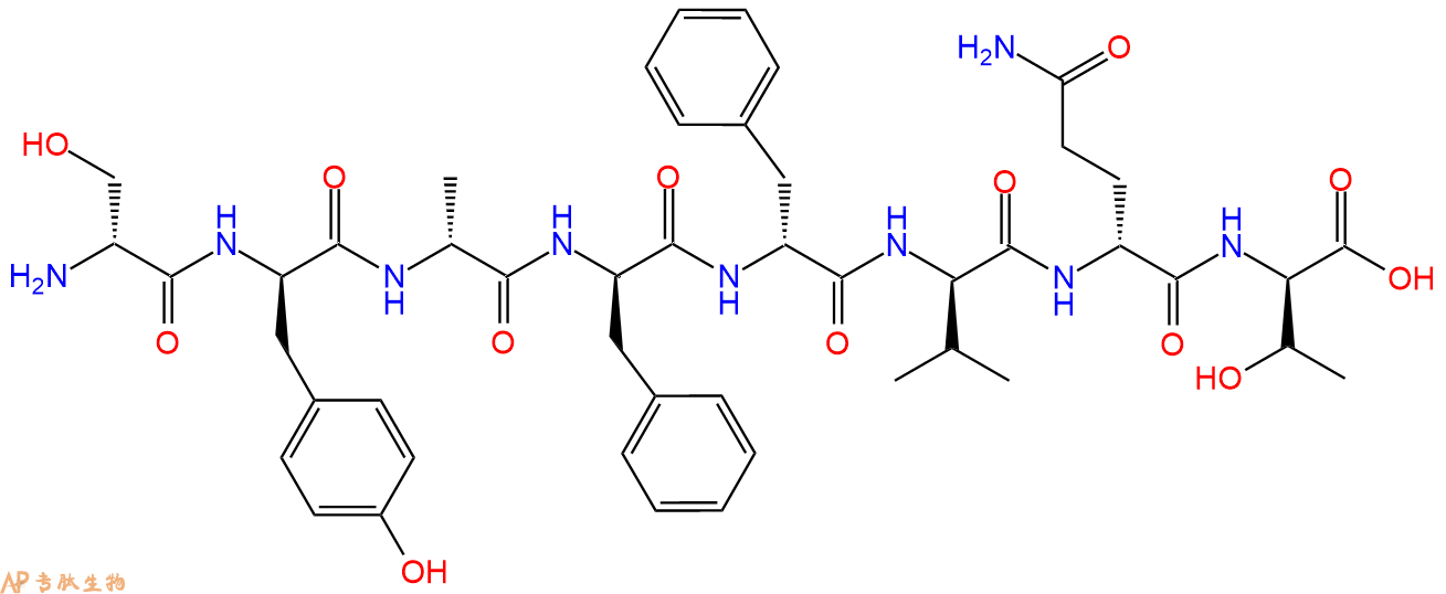
编号:409166
CAS号:
三字母:H2N-DSer-DTyr-DAla-DPhe-DPhe-DVal-DGln-DThr-OH
描 述:
编号:409423
CAS号:
三字母:H2N-DGlu-DHis-DLys-DLys-DLys-DHis-DPro-DAsp-OH
描 述:
编号:410191
CAS号:
三字母:H2N-DAla-DPhe-DPhe-DLeu-DPhe-DCys-DSer-DGlu-OH
描 述:
编号:408914
CAS号:
三字母:H2N-DGlu-DAsp-DGlu-DGlu-DAsp-DGlu-DAsp-DGlu-OH
描 述:
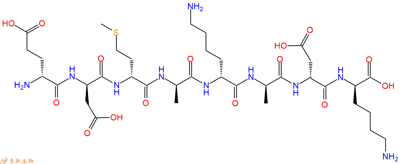
编号:408919
CAS号:
三字母:H2N-DGlu-DAsp-DMet-DAla-DLys-DAla-DAsp-DLys-OH
描 述:
编号:410457
CAS号:
三字母:H2N-DAsp-DIle-DAla-DAla-DTyr-DArg-DAla-DLys-OH
描 述:
编号:410202
CAS号:
三字母:H2N-DGlu-DLys-DLys-DAla-DAla-DLys-DLeu-DLys-OH
描 述:
编号:409180
CAS号:
三字母:H2N-DTyr-DAla-DPhe-DPhe-DVal-DGln-DThr-DCys-OH
描 述:
编号:409949
CAS号:
三字母:H2N-DAsn-DAla-DPro-DLys-DArg-DPro-DPro-DSer-OH
描 述:





