400-998-5282
专注多肽 服务科研
编号:594972
CAS号:
三字母:H2N-Phe-Thr-Pro-Val-Gly-Leu-Asn-Asp-Thr-Glu-His-Phe-Asn-Gln-Trp-Val-Val-Pro-Arg-OH
描 述:
编号:594973
CAS号:
三字母:H2N-His-Ile-Tyr-Ala-Val-Ala-Asp-Asn-Ala-Tyr-Asn-Asp-Met-Leu-Arg-Asn-Arg-Asp-Cys-OH
描 述:
编号:594974
CAS号:
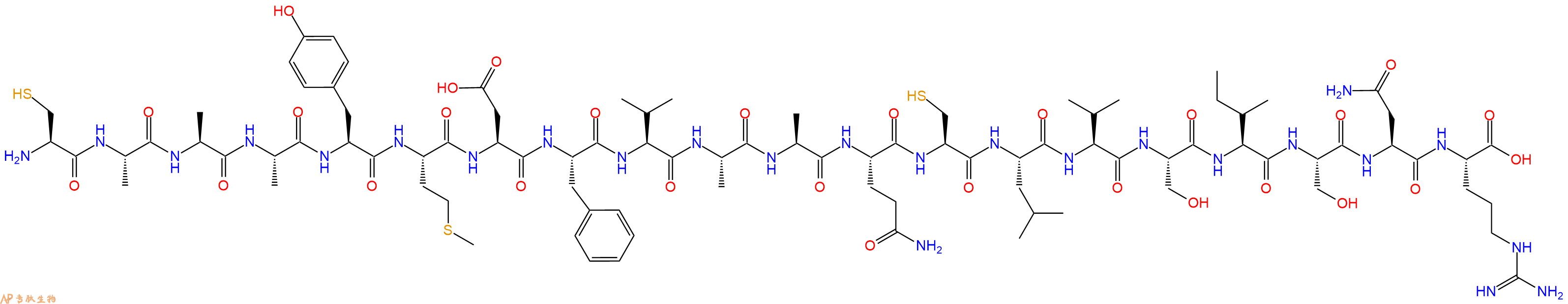
三字母:H2N-Cys-Ala-Ala-Ala-Tyr-Met-Asp-Phe-Val-Ala-Ala-Gln-Cys-Leu-Val-Ser-Ile-Ser-Asn-Arg-OH
描 述:
编号:594976
CAS号:
三字母:Pyr-His-Trp-Ser-Tyr-Gly-Leu-Arg-Pro-Gly-Lys-Lys-Lys-Lys-Lys-Arg-Lys-Lys-His-Val-Glu-Glu-Ile-Glu-OH
描 述:
编号:594977
CAS号:
三字母:H2N-Glu-Lys-Glu-Lys-Tyr-Asp-Glu-Glu-Ile-Ser-Ser-Leu-Tyr-Arg-Gln-Leu-Asp-Asp-Lys-Cys-OH
描 述:
编号:594978
CAS号:
三字母:H2N-Met-Ala-Cys-Leu-Cys-Gly-Cys-Arg-Val-Cys-Leu-Met-Leu-Ala-Cys-Ala-Ala-Trp-Asp-OH
描 述:
编号:594980
CAS号:
三字母:Pyr-His-Trp-Ser-Tyr-Gly-Leu-Arg-Pro-Gly-Lys-Lys-Lys-Lys-Glu-Glu-Ile-Glu-Ser-Pro-Pro-Pro-Glu-Ser-Asn-Glu-Glu-Glu-OH
描 述:
编号:594981
CAS号:
三字母:H2N-Tyr-Gln-Asp-Pro-His-Ser-Thr-Ala-Val-OH
描 述:
编号:594982
CAS号:
三字母:H2N-Ala-Arg-Asp-Pro-Gln-Arg-Tyr-Leu-Val-OH
描 述:





