400-998-5282
专注多肽 服务科研
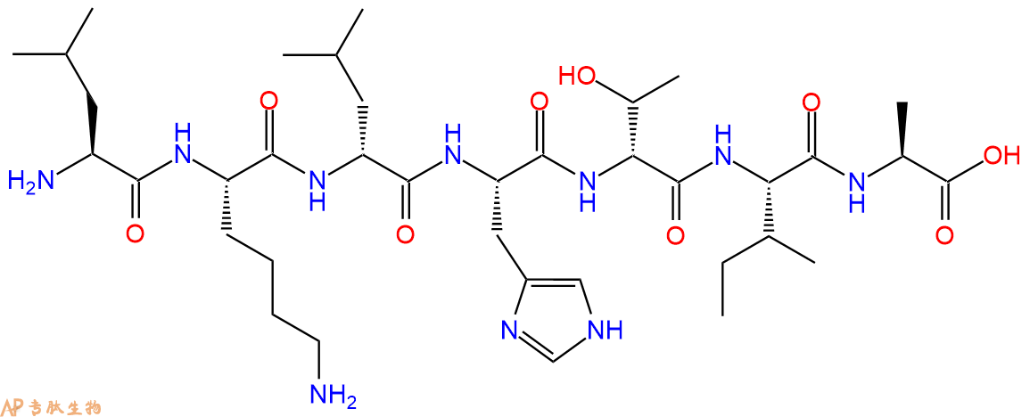
编号:594711
CAS号:
三字母:H2N-Thr-Arg-Arg-Lys-Phe-Trp-Lys-Lys-Val-Leu-Asn-Gly-Ala-Leu-Lys-Ile-Ala-Pro-Phe-Leu-Leu-Gly-OH
描 述:
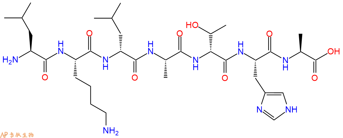
编号:594713
CAS号:
三字母:H2N-Gly-Ala-Lys-Ile-Leu-Gly-Ile-Leu-Arg-Val-Leu-Arg-Leu-Leu-Arg-Thr-Leu-Arg-Pro-Leu-Arg-Val-Ile-OH
描 述:
编号:594719
CAS号:
三字母:Ac-Ala-Asn-Lys-Phe-Asn-Gln-Ala-Leu-Gly-Ala-Met-Gln-Thr-Gly-Phe-Thr-Thr-Ser-Asn-Leu-Ala-Phe-Ser-Lys-Val-Gln-Asp-Ala-Val-Asn-Ala-Asn-Ala-Asn-Ala-Leu-Ser-Lys-Leu-Ala-Ser-Glu-CONH2
描 述:
编号:594720
CAS号:
三字母:Ac-Glu-Ile-Ser-Lys-Ile-Asn-Thr-Thr-Leu-Leu-Asp-Leu-Ser-Asp-Glu-Met-Ala-Ile-Leu-Gln-Glu-Val-Val-Lys-Gln-Leu-Asn-Asp-Ser-Tyr-Ile-Asp-Leu-Lys-Glu-Leu-CONH2
描 述:





