400-998-5282
专注多肽 服务科研
编号:594077
CAS号:
三字母:H2N-Val-Val-Phe-Gly-Gly-Gly-Thr-Arg-Leu-OH
描 述:
编号:594079
CAS号:
三字母:H2N-Val-Ser-Thr-Pro-Pro-Val-Pro-Gln-Cys-Lys-OH
描 述:
编号:594080
CAS号:
三字母:Ac-Cys-Tyr-Tyr-Arg-Arg-Lys-Cys-Phe-Leu-Phe-Phe-Cys-Tyr-Arg-Lys-Lys-Tyr-Cys-Val-Thr-Thr-Tyr-Tyr-Leu-Ser-Phe-Arg-Cys-Gly-Arg-Tyr-Cys-CONH2
描 述:
编号:594081
CAS号:
三字母:H2N-Arg-Arg-Gly-Gly-Arg-Thr-Arg-Pro-Val-OH
描 述:
编号:594082
CAS号:
三字母:H2N-Phe-Ile-Gly-Lys-Ile-Pro-Ile-Thr-Leu-OH
描 述:
编号:594083
CAS号:
三字母:H2N-Phe-Asp-Tyr-Asn-Ser-Val-Leu-Ala-Ile-OH
描 述:
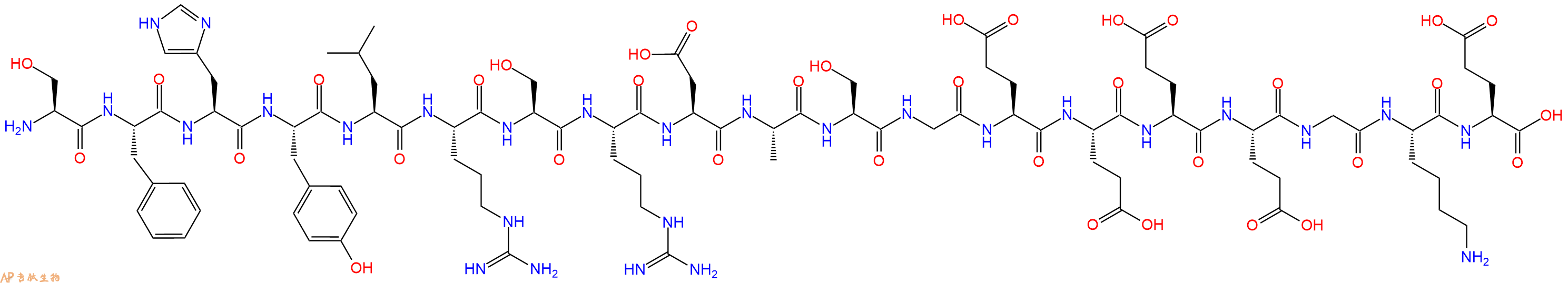
编号:594084
CAS号:
三字母:H2N-Ser-Phe-His-Tyr-Leu-Arg-Ser-Arg-Asp-Ala-Ser-Gly-Glu-Glu-Glu-Glu-Gly-Lys-Glu-OH
描 述:
编号:594085
CAS号:
三字母:H2N-Gln-His-Pro-Gly-Arg-Arg-Leu-Ala-Asp-Pro-Lys-Ala-Gln-Arg-Trp-Glu-Glu-Glu-Glu-Glu-Glu-Glu-Glu-Arg-Glu-Glu-Asp-Leu-Met-Pro-Glu-OH
描 述:
编号:594086
CAS号:
三字母:H2N-Arg-Arg-Pro-Val-Lys-Val-Tyr-Pro-Asn-Gly-Ala-Glu-Asp-Glu-Ala-Glu-Ala-Phe-Pro-Leu-Glu-OH
描 述:





